▲点击图片为你喜欢的作品投票

七夕
今天是七夕,传说中这一天是牛郎织女相会的日子,可惜牛郎星和织女星是不会相遇咯~在这个充满恋爱气息的日子里,总是几家欢喜几家愁。男生往往无法领会恋爱中的微小细节,为什么女生总是莫名其妙就生气了?为什么明明什么都没做,就突然出现了感情危机?女生的话到底应该怎么听才能get到正确的点呢?放下所谓的恋爱手册吧~理科男就应该有理科男的分析策略!
丰富的物理知识对理解哲学有至关重要的作用,当然,这也适用于恋爱哲学,恋爱中出现问题的小伙伴们不妨做做物理分析冷静一下,说不定就可以找到问题关键所在哦。今天就来教教大家使用非线性动力学建立的数学模型来预测恋爱中爱情的演变趋势吧~
▲请点击上面音频按钮收听声音吧~
什么是线性系统?

二十世纪物理学中最重大的理论是相对论、量子论和混沌论,这三大论是对牛顿、拉普拉斯决定论的某种否定,相对论否定了时空的绝对性,解决了高速运动问题;量子论否定了粒子与波的绝对性,解决了微观运动的问题;混沌论则否定了可预见的绝对性,解决了非线性运动的问题。物理学从决定论占统治地位走向决定论、随机论、混沌论三分天下的局面,这是人类对自然规律认识的又一个重大飞跃。
自古希腊时代以来,人们笃信和向往的世界是稳定的、有序的、具有周期性和对称性等等,而随着认识的加深,人们发现世界具有各种不稳定动力系统的特征,充满了非平衡、非线性、非稳定、非可逆、非连续、非周期、非标准分析这一系列以 “非”打头的性质。人们终于认识到客观世界是非线性的、非平衡的复杂世界。而这个非线性系统它具有多样性、复杂性、不可预测性,不满足时间反演对称性的特征。

相较于物理概念中的平衡和非平衡,数学概念中,称之为线性和非线性。在线性系统中,整体的行为或性质是部分之和,复杂性不因叠加产生,并且只要知道初始条件,就可以了解过去,预测未来。而在非线性系统中,叠加原理则会失效,系统行为对初始条件极端敏感依赖,长期行为不可预测,决定论性混沌,具有内在随机性。它们两的区别简单来说呢,就是满足叠加原理的系统就是线性系统,不满足叠加原理的统称为非线性系统。
在现实中,一切都是非线性的,友好的线性系统只在小尺度上存在。这就意味着,在恋爱关系中,总是具有非常多的突发状况和不可预测性。
接下来我们使用微分、差分方程式(Formulation)对爱情进行分析,科学的诠释一下爱情的演变过程。为了方便大家理解,我们用经典电影《乱世佳人》中主人公的感情线进行分析。
乱世佳人
GONE WITH THE WIND
导演: 乔治.丘克 维克多.弗莱明
主演: 克拉克.盖博 / 费雯.丽 / 奥利维娅.德哈维兰
制片国家: 美国
类型: 剧情 / 爱情

《乱世佳人》主人公感情线简介

影片改编自玛格丽特·米切尔的小说《GONE WITH THE WIND》,中文翻译为《飘》,影片开始于南北战争前的美国南方奴隶制度尚存的佐治亚洲,讲述了风和日丽的一天,美艳不可方物的种植园主女儿,16岁的斯嘉丽,也就是女主,和往常一样流连在少年们的追捧爱慕和少女们的嫉妒白眼中,这大大的满足了她的虚荣心,在十二橡园宴会中她认识了白瑞德,也就是男主。斯嘉丽虽享受招蜂引蝶,却深深迷恋着忧郁绅士艾希礼,可惜艾希礼另有所爱,爱而不得的斯嘉丽在艾希礼订婚前夜惨遭拒绝,赌气嫁给了路人甲,路人甲参军南北战争,死了,斯嘉丽首次变成寡妇。
热爱舞会和奢华场合的斯嘉丽不甘寂寞,在白瑞德的鼎力相助下满血复活。后来战火烧到了斯嘉丽的家乡,文明和秩序荡然无存,白瑞德帮助斯嘉丽脱困并向其表白,斯嘉丽非常感动,打算接受他,然后白瑞德决定哎呀还是想要当一个有血性的南方人,就算知道必败,也去和北方佬打仗吧!然后就走了。

接下来的日子里斯嘉丽经历了母亲病逝,父亲精神失常,流氓打劫,妹妹们的抱怨,饥饿和贫穷让斯嘉丽从一个花季少女迅速成长为承担家庭重任的顶梁柱,生活虽然异常艰苦,但这并没有打倒她。战争结束,南方失败,斯嘉丽突然得知自己如果拿不出300块钱就要失去从小到大居住的心爱的Tara庄园了!这简直是雪上加霜,对一夕之间失去一切的斯嘉丽而言,Tara庄园就是生命的全部了,她愿意为它付出一切。于是,机智如她用窗帘做了新裙子,美美的去找狱中的白瑞德,在得知他拿不出钱后,愤怒的斯嘉丽转身去找了妹妹的情人路人乙结婚,靠路人乙的钱拯救了Tara庄园。很快,路人乙参加革命,死了,斯嘉丽再次成了寡妇。
这时腰缠万贯的白瑞德出现了,愉快的斯嘉丽愉快的嫁给了白瑞德愉快的过上了有钱人的生活。然而斯嘉丽婚后对艾希礼依旧念念不忘,白瑞德头上总有种绿油油的感觉。两个人经历了恶语相向,言不由衷,女儿意外身亡,斯嘉丽跌下楼梯流产后,关系日益恶化,最终崩溃,讽刺的是,斯嘉丽终于认识到自己对白瑞德的真爱,而此时白瑞德也终于耗尽耐心决定离开。影片伴随着斯嘉丽的经典台词Tomorrow is another day.结束,留给大家一个开放性的结局。

感兴趣的小伙伴建议看看这部时长近4小时的经典爱情电影,其中的复杂性和贴近生活的戏剧性情节真的不亚于推理侦探电影的烧脑程度,毕竟还有什么比感情问题更难解读呢?

构建爱情演变的数学模型

1.经典的线性爱情
罗密欧与朱丽叶的爱情故事
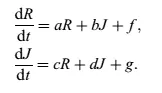
就满足经典的线性爱情方程。方程如下:

其中:
R(t):A对B的爱(或恨)
J (t):B对A的爱(或恨)
系数a和b:A的“恋爱风格”,即恋爱对A的影响程度,和B对A的影响程度
系数c和d::B的“恋爱风格”,即恋爱对B的影响程度,和A对B的影响程度
f:B对A的吸引力
g:A对B的吸引力
我们得到一个二维的动力学模型,由相应的初始条件和四个系统参数a,b,c和d以及两个输入项f和g进行控制。假设所有参数在这两个方程中是不变的。
罗密欧与朱丽叶之间最简单的迷恋浪漫模式:

朱丽叶爱上了罗密欧,但罗密欧是一个抗拒型的情人。朱丽叶越爱他,他就越不喜欢朱丽叶。但是当她对他失去兴趣时,他对她爱的感觉慢慢强烈起来。另一方面,她倾向于回应他。当他爱她的时候,她的爱情会变得越来越浓烈,当他讨厌她时,她也随即变得讨厌他。他们的爱的控制方程是无阻振荡器的控制方程,而他们的感情的悲哀结果当然是一个永无止境的爱与恨的循环。 不过至少在四分之一的时间里,他们能够同时深爱着彼此。
2.非线性爱情模型
以斯嘉丽与白瑞德的爱情演变为例。
首先,我们做两个基本假设:
第一,个体行为特征前后保持一致,是一个平稳的过程;
第二,不考虑不可预测的外部事件。
正如剧情所述,主人公感情线不同于以罗密欧与朱丽叶为代表的经典线性爱情线,并不是除了爱就是恨的关系,而是分析增殖过程和消耗过程两种复杂过程相互竞争作用后,对彼此爱的程度的变化趋势分析。在这种只考虑两人之间相处状况变换的前提条件下,以时间t为自变量,以爱的程度x为因变量,就可以建立简单的情感变化趋势方程啦!
方程主要由遗忘过程、吸引指数(appeal)、反应函数(reaction)三项组成:

其中遗忘过程函数随时间指数衰减,简单来说也就是越久不见面,越容易遗忘,可见异地恋是一项艰难的任务。遗忘函数随时间指数衰减的方程:


吸引指数则有许多影响因素,比如说:外貌,才华,年龄,财富等,吸引指数与具体的被吸引者有关,与吸引者自身无关,俗话讲就是情人眼里出西施~影响因素可以用吸引权重来表示:

而反应函数则与情侣双方的性格有关,比如健康型人格(secure individuals),也就是阳光型,正面型的人格,这种人格形成的反应函数可认为是线性函数或有界函数,而安全防御型人格(insecure individuals),的反应函数则会是一个有阈值的曲线。这种刺猬型防御型的人格有一个典型的特点是,初期他的感情增长与对方的感情投入成正比,但是当情感增长到一定高度,如果对方继续投入感情,则反而会使得他的情感感受迅速降低。也就是阈值之前相应增长,超过阈值快速降落。
反应函数的具体方程:

谨慎型(cautious)人格的反应函数曲线图:

防御型人格的反应函数曲线图:

很不幸,不仅斯嘉丽和白瑞德属于防御型的人格,生活中许多人都属于防御型的人格。
方程建立好之后,进行计算时,还存在三个限制条件:
第一,两人不会由爱转恨(xi>=0);
第二,两人的感觉不会周期振荡;
第三,爱情不可能无限制增长(xi是有界函数)。
这三个限制导致本系统只趋向于平衡点(equilibrium point),即两人关系趋于稳定,也就是稳定的好或者稳定的差。所谓平衡点就是系统状态方程中,各状态变量导数均为0的点,在非线性系统中可以出现多个平衡点。
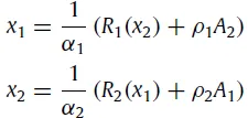
求解爱情演变方程得到关于稳定态(零点集)的方程为:

其中:
x1:斯嘉丽的爱的程度
x2:白瑞德爱的程度
α1:与遗忘函数有关的参数。
当A1=A2=1时,表示两人吸引力对等;
当A1=1.2,A2=1,表示斯嘉丽更吸引人;
当A1=1.2,A2=2时,表示白瑞德更吸引人,
如下图所示,其中绿色点为稳定平衡点即汇点,蓝色点为鞍点。

结论:投入感情越少的一方,往往越吸引人。
本文选择了影片的12个片段来进行感情分析,利用前两个片段确定两人的人格特征,建立模型,后十个片段用来预测两人爱情的演变。十二个片段分别为:

S.1斯嘉丽在十二橡园的 舞会上与众人调情(17:53-24:15)

S.2斯嘉丽与白瑞德第一次邂逅(21:44-22:35)

S.3白瑞德取笑了成为寡妇的斯嘉丽(40:10-41:59)

S.4白瑞德在义卖舞会中出高价买了与斯嘉丽共舞的资格,而斯嘉丽在议论纷纷中接受了(43:20 -43:57)

S.5斯嘉丽与白瑞德第一次接吻(47:40-48:24)

S.6白瑞德在离开斯嘉丽之前向她告白(1:27:49-1:31:08)

S.7斯嘉丽穿着她用窗帘布做的美丽长裙去监狱与白瑞德见面(2:14:10 -2:18:30)

S.8白瑞德向斯嘉丽求婚(2:47:57-2:53:10)

S.9白瑞德和斯嘉丽婚后不久(2:53:22-2:49:19)

S.10白瑞德将杯子用力砸向斯嘉丽的肖像画(3:01:20-3:04:03)

S.11白瑞德向斯嘉丽提议离婚(3:18:54-3:12:12)

S.12白瑞德最终离开了斯嘉丽(3:46:17-3:37:25)
选择小的片段来预测整个事件的发展走向运用了分形的思想,分形通常定义为:“一个粗糙或零碎的几何形状,可以分成数个部分,且每一部分都(至少近似地)是整体缩小后的形状”,即具有自相似的性质。曼德博集合就生动形象的体现出这一特征。

将各项参数代入模型中获得图像:

从两人感情程度的发展变化中可以看出,斯嘉丽属于典型的防御型人格,在白瑞德越珍爱斯嘉丽的时候,斯嘉丽产生了自我保护的反应,对白瑞德越不珍惜,在两人六个月的分离期中,两人彼此的感情都有下降,而这一阶段只有遗忘过程在起作用,可见在吸引力不变,性格不变的情况下,分离都会影响恋人之间的感情。

而随着时间推移,发生了不同的事件后,两个人情感变化曲线除了最开始的同步增长外,出现了反向变化的趋势,可见某些事件的发生对情侣中的个体而言,情感变化可能会相当剧烈,而且这种变化并不具有可预测性。通过电影以及我们模拟的曲线可以看出,在斯嘉丽与白瑞德的感情中,往往是投入越少的人越具有吸引力,而越具有吸引力的那一方越不愿投入感情。可见电影结局的本质是由于安全防御型人格导致的悲剧。
让我们从电影回到方程中来,对遗忘函数有一句最好的诠释,那就是“陪伴是最长情的告白”,可见时间既是解药也会是毒药,愿你的爱情不会败给时间。而吸引指数则说明面对失败的恋情,与其自怨自艾,不妨提升自己,魅力四射的你才会更具有吸引力。反应函数体现出了彼此性格的差异,恋爱中难免磕磕碰碰,情侣之间最需要的就是理解与包容,交流与沟通,愿你遇见一个将你缺点看成星星,优点看成太阳的人,因为太阳一出来,星星就消失了。
3.Robust Couple与Fragile Couple
非线性爱情模型
在不同初始条件下Robust Couple的情感变化与线性情况类似,汇与一个平衡点上,发展状况相对稳定。

而在不同初始条件下Fragile Couple的情感变化则要复杂许多,在两个平衡点之间存在一个不稳定的鞍点,这类情侣关系相对脆弱,很有可能“因爱生恨”。

弱随机强迫(σ=0.1)与强随机强迫(σ=0.5)都会使得爱情关系变得不稳定。
而Robust Couple无论面对弱随机强迫还是强随机强迫最终都会保持恋爱关系,如下图。


Fragile Couple的情况则更为复杂和不确定,任何随机扰动都会对其恋爱关系造成影响,甚至导致恋爱关系破裂,如下图。

白瑞德在投军前对斯嘉丽说:“我爱你,斯嘉丽,因为我们两人非常相像,我们都是叛逆者都是自私自利的匪类。只要我们自己安全,自己舒服,哪怕整个世界毁灭我们也丝毫无动于衷。”这个狡猾、智慧、桀骜不驯、善于和女人周旋又腰缠万贯的男人在目睹斯嘉丽抱有目的两次嫁给不爱的人,看透了她的本质,欣赏着她无穷的活力、特立独行的风格以及明艳的美貌,看着她从一个小女孩成长成一个女人,终于斯嘉丽爱上他了,而他终于也在漫长的等待和消磨中耗尽了最后的忍耐和宽容,选择了遗忘和离开。
在离开前,他对斯嘉丽说:“斯嘉丽,我从来不是那样的人,不能耐心的拾起一些碎片,把它们粘合在一起,然后对自己说,这个修补好了的东西跟新的完全一样。一样东西破碎了就是破碎了,我宁愿记住它最好是的模样,而不想把它修补好,然后终生看着那些破碎了的地方。也许,假使我还年轻一点,可是我已经这么大年纪了,不能相信那种纯属感情的说法,说是一切都可以从头开始。我这么大年纪了,不能终生背着谎言的负担,在貌似体面的幻灭中过日子。我不能跟你生活在一起同时又对你说谎,而且我决不能欺骗自己。就是现在,我也不能对你说谎话啊!我是很想关心你今后的情况,可是我不能那样做。”
Scarlett, I was never one to patiently pick up broken fragments and glue them together and tell myself that the mended whole was as good as new. What is broken is broken—and I’d rather remember it as it was at its best than mend it and see the broken places as long as I lived. Perhaps, if I were younger but I’m too old to believe in such sentimentalities as clean slates and starting all over. I’m too old to shoulder the burden of constant lies that go with living in polite disillusionment. I couldn’t live with you and lie to you and I certainly couldn’t lie to myself. I can’t even lie to you now. I wish I could care what you do or where you go, but I can’t.
最后,希望听众朋友们在情感中可以拥有斯嘉丽的勇气和活力,不必在深夜痛哭,辗转反侧茶饭不思,毕竟,明天又是新的一天!
那么~
感谢大家的收听~
我们下期再见!

2017.08.28
参考文献
J. Wauer, D. Schwarzer, G.Q. Cai, Y.K. Lin, Dynamical models of love with time-varying fluctuations, Applied Mathematics and Computation, Volume 188, Issue 2, 2007, Pages 1535-1548, ISSN 0096-3003
特此感谢大气物理研究所胡非老师提供的资料和指导!
编辑:shining
近期热门文章Top10
↓ 点击标题即可查看 ↓
2. 物理所小编的心情不好,一个字也不想说,所以今天的头条就这样吧……
3. 宇宙是唯一的吗?
4. 风扇为什么逆时针旋转?
6. 为改变人类献身的科研人,其实都在无偿为一个暴利行业打工?
7. 是什么让比尔盖茨、霍金都在恐惧?| SciFM Vol.14
8. 世界是如何存在的?(上)
