苏格拉底带他们走进麦田,说:一直往前走,摘一颗你们认为最大的麦穗,不许回头。

第一个学生匆匆摘了一颗,继续走时发现更大的,后悔不已。第二个学生总以为后面还有更大的,走到终点时两手空空。第三个学生把麦田分成三段:第一段观察大小标准,第二段验证判断,第三段一见到符合标准的就果断摘下——最终他得到了相对满意的麦穗。
今天,这道题有了更酷的解法:用强化学习算法,算出你该在什么时候停下,找到最好的那个人。
一、你的恋爱,就是一道优化算法题

先看苏格拉底麦田的现代版:
这不就是强化学习的标准设定吗?你的每一次约会,都是在用有限的时间预算,寻找最大化的长期收益。
那么,各种算法会给出什么建议?
二、三种算法,三种爱情策略
策略1:ε-greedy —— “大部分时间认真,偶尔开小差”
算法核心:
以(1-ε)的概率选择当前已知最优选项以
ε的概率随机探索新选项
翻译成人话:
90%的时间,你好好经营眼前这段不错的感情;
10%的时间,你去参加个联谊会,下个社交软件,看看“市场行情”。
算法特点:
ε这个参数,就是你的“花心指数”。设得太高,你成了海王;设得太低,你可能错过真爱。
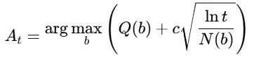
策略2:UCB —— “学霸式海王,每个选择都有理有据”
算法公式:
选择那个人 = argmax [ 当前好感分 + 2 × √(ln(总约会次数)/见过TA的次数) ]
公式的左边是“已知收益”,右边是“不确定性的红利”。随着你越长时间不关注某个选项,右边的值就越大,最终超过当前最优选项
看着复杂?分解一下:
第二部分:2 × √(ln(总约会次数)/见过TA的次数)→ “潜力加分”
关键洞察:
那个你很久没联系的高中同学,为什么突然又想联系了?
因为“见过TA的次数”很少 → 分母小 → 潜力加分高!
UCB算法告诉你:不确定本身就有价值。你不确定TA现在变更好还是更差了,这种不确定性值得你花一次咖啡的时间去验证。
实践指导:
每季度一次,翻翻你的微信通讯录,找那个“潜力加分”最高的人(通常是你了解但很久没深入交流的人),发条消息:
“最近怎么样?好久不见,喝杯咖啡?”
策略3:Thompson Sampling —— “贝叶斯恋爱大师”
这是最像人类实际恋爱的方式:
你对每个人都有个初始印象(先验分布)
每次约会后,根据TA的表现更新你的认知
时间越长,你对TA的了解越确定(分布越集中)
用数学表示,如果你给TA的“好感分”假设服从正态分布:
第一次约会后:好感分 ~ N(70, 20²) # 大概70分,但误差很大
第十次约会后:好感分 ~ N(85, 5²) # 大概85分,相当确定
有趣的是,研究用真实情侣数据回测,Thompson Sampling在模拟人类择偶时表现最佳——因为我们就是这样谈恋爱的!
三、37%法则:最优停止的数学解
好了,知道怎么“谈”了,那什么时候“定”呢?
这就是最优停止理论的经典问题,数学上有个漂亮解:
最优策略 = 前37%的时间,只看不选;
之后遇到比之前都好的,立刻拿下!
为什么是37%?因为 1/e ≈ 0.367879...
应用到你身上:
假设你从20岁开始认真找对象,打算35岁前结婚:
总时间:15年
37% × 15 = 5.55年
20 + 5.55 = 25.55岁
策略:25岁半之前,广泛接触,不定标准;25岁半之后,只要遇到比之前所有人都好的,认真考虑结婚。
数学证明,这个策略让你有37%的概率找到绝对最好的,并且100%避免选到最差的。
四、残酷现实:两个必须考虑的变量
但等等!上面的模型太理想了,它假设:
你永远这么有吸引力 ❌
优质对象永远均匀出现 ❌
现实是:
修正1:你的“择偶力”在衰减
在算法里,我们引入折扣因子 γ:
如果γ=0.9,那么:
残酷真相:同一个人,晚遇到5年,对你的价值打6折!因为你的时间、精力、生育力...都在衰减。
修正2:优质对象被“抢购”
市场不是静止的。最好的那群人,会在25-28岁被快速锁定。
我们可以用衰减分布描述:
t年遇到的人的平均质量 = 初始质量 × e^(-λt)
λ是衰减率。优质对象的“半衰期”可能只有3-4年。
五、修正版答案:什么时候该定下来?
当同时考虑你的衰减和市场的衰减,最优停止点必须大幅提前。
你的现实版恋爱时间线:
阶段一:探索期(20-24岁)
策略:高ε的ε-greedy
目标:积累数据,建立标准
心态:“多试试,才知道自己要什么”
阶段二:优化期(24-28岁)
阶段三:决策期(28-30岁)
策略:果断利用,停止探索
阈值:遇到“明显优于历史最佳且双向奔赴”的人
心态:从“寻找最优”切换到“珍惜足够好”
阶段四:收敛期(30岁+)
如果还单身:重新校准期望
新策略:寻找“局部最优”而非“全局最优”
实话:此时找到“理想型”的概率曲线已开始陡降
六、算法的温度:当数学遇到人心
当然,所有这些算法都有个前提:麦穗不会自己跑掉。
但现实中:
你在观察TA,TA也在观察别人
你的“探索”可能被TA视为“不专一”
等你想回头,TA可能已不在原地
最新的“双向匹配强化学习”模型考虑了这个:你的每次选择,也改变了他人的选择空间。
七、最终答案:综上建议的结婚年龄
综合所有算法和现实修正:
算法 | 建议停止探索的年龄 | 核心逻辑 |
|---|
经典37%法则 | 25.5岁 | 理论最优,但太理想化 |
带衰减的UCB | 26-28岁 | 考虑自身价值衰减 |
双向匹配模型 | 27-29岁 | 考虑对方也在选择你 |
现实推荐区间 | 28岁左右 | 综合最优 |
这不是说28岁必须结婚,而是:
如果你28岁前遇到“明显优于过往所有人”的,认真考虑安定
如果你28岁还在不断寻找“更好”,需要重新评估策略
如果你30岁还在用25岁的心态恋爱,数学上你正在降低自己的胜率
写在最后:算法是导航,心是方向盘
所有的数学模型,都基于一个假设:你可以用分数给一个人估值。
但现实中:
算法能告诉你的是:
在有限时间内最大化找到合适伴侣的概率策略。
算法不能告诉你的是:
什么时候该为一个人破例,
什么时候该相信感觉而不是分数,
什么时候该把“最优解”的执念,换成“足够好”的智慧。
所以,在28岁左右的某个夜晚,当你遇到那个人——TA不是所有选项里分数最高的,但和TA在一起时,你突然不再关心算法和概率——也许,这就是算法要带你抵达的终点:一个让你愿意关闭所有搜索窗口的人。
毕竟,最好的算法,最终是要让你不再需要算法。
P.S:你的γ值和λ值,只有你自己知道。 有人衰减得慢,有人市场的风大。但无论如何,在合适的时间做合适的事——无论是探索还是安定——都是对自己最大的负责。
祝你既能算得清概率,也能听得见心跳。